| Date | Price | |
|---|---|---|
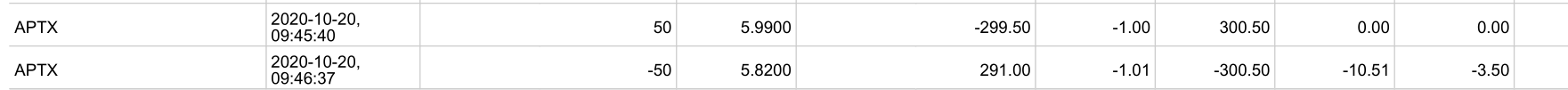
| Entry | 10/20/2020 | 5.99 |
| Exit | 10/20/2020 | 5.82 |
- Total Views78
- Position Size50
- Percentage-2.84%
Copy and paste the following into your page or blog. If using WordPress, you must paste this in the HTML tab only:
| Date | Price | |
|---|---|---|
| Entry | 10/20/2020 | 5.99 |
| Exit | 10/20/2020 | 5.82 |